色度計及其三色過濾系統具有固有的局限性。簡而言之,過濾檢測(cè)器進行 CIE 顔色匹配並(bìng)不容易。實際上,正在使用單獨的濾光片來獲取光並(bìng)分離三種顔色波長(寬帶)。此外,3個濾光片通常是從單個多色濾光片切割而成的。這種多色濾光片通常在切割前進行塗層處理。但是塗層並(bìng)不總是均勻地分布在整個表面上,並(bìng)且可能會導緻單個零件的更多不一緻。
畢(bì)竟,必須從3種顔色中獲取數據並(bìng)将它們重新組合在一起以到達顔色圖上的一個點。
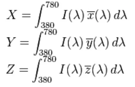
下圖是3個(gè)光片公式的計(jì)算方法:
